Chief Hi Performance’s latest turbo engines throw down the gauntlet against OEM turbo engine packages with dozens of proven pulls at 1740HP and PBN brings you the exclusive details.
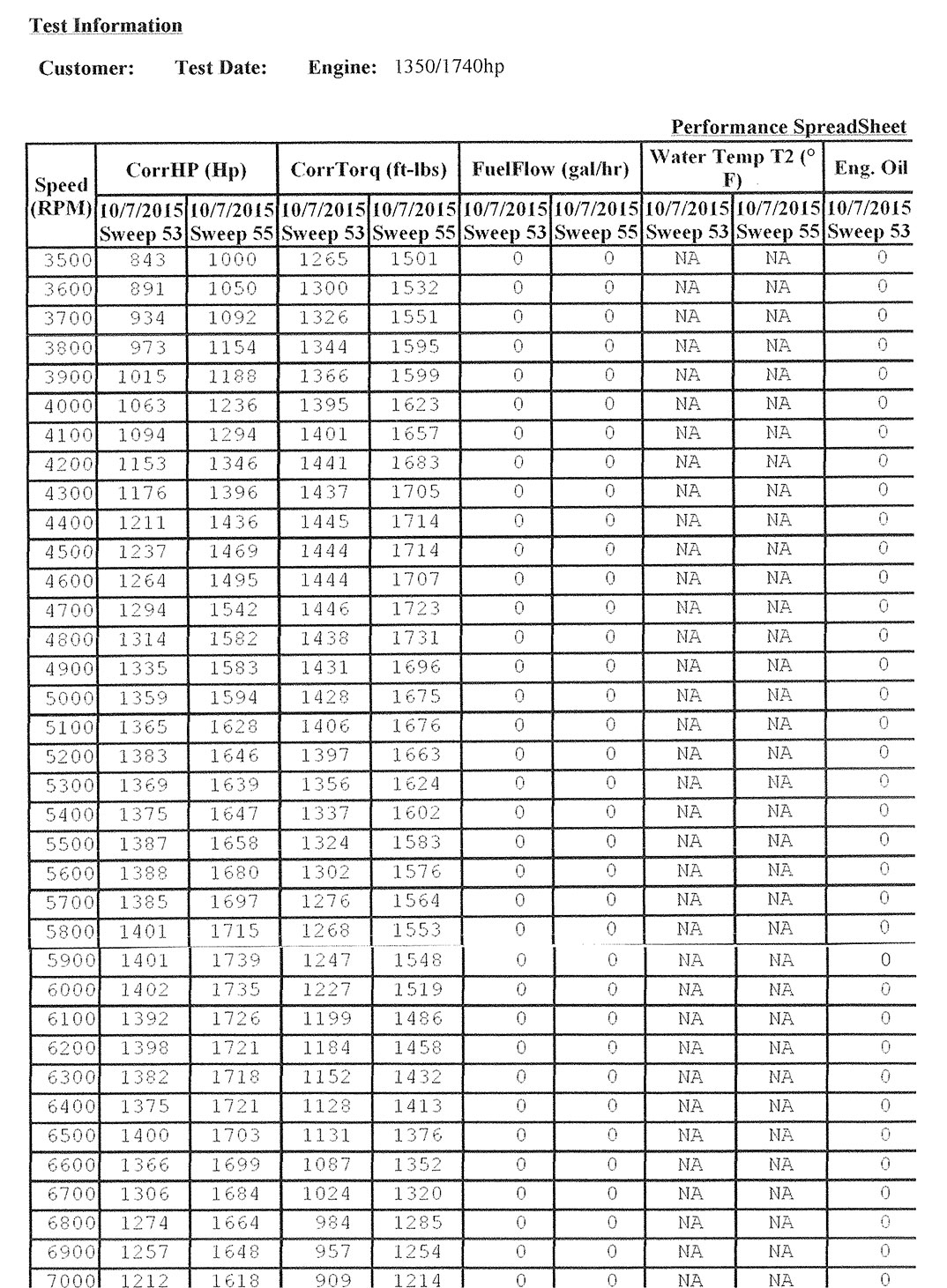
Here is the latest in remarkable dyno pulls of the new Chief Hi-Performance Twin Turbos on pump gas… and just now we have the exclusive copies of the pulls on VP Fuels X15. 1739 Hp at 5900 pulling 1548 lbs of torque. This incredible engine was run through a series 55 dyno pulls while all of them displaying incredible consistency of the same numbers, not some anomaly, some very serious HP.
Click Image to See Results
Remember the beauty of these engines is you can literately flip a switch on the dash and change from 1350 HP on regular pump gas to 1520HP on premium fuel to an incredible 1740HP on race fuel. That’s nearly 200 HP more than the OEM engine can produce on the same fuel. Tommy and his team have created a foundation of HP levels that allow them to match an engine combination to most anyone’s needs. These turbo engine are changing the direction of where people look for turbo engines that are reliable and use a serviceable infrastructure.
With the Florida Powerboat Club premier event in Key West coming soon, Chief tells us they will be there on hand providing the power boater the opportunity to compare their product and their incredible engine management system to the OEM packages. Like at most boat shows were sure to see the other guys all around this package deciphering just how the chief engine crew is delivering such impressive number from a common engine architecture. Chief is building more and more of these ultra reliable engines and at a cost of installation that’s 40% less than retrofitting an OEM engine. Get yourself to the Key West Poker run and see these incredible engines first hand.
If you didn’t catch it last week we caught one of these monsters on video being tested at Chief’s Dyno Shop. Check it out below:



